Last year (2024) was the hottest year in recorded history, according to the World Meteorological Organization. With temperatures around the globe rising and the oceans warming, scientists warn that we face a new normal of chaotic floods, dangerous storms and out-of-control fires exacerbated by human-caused climate change.
Every year, wildfires burn hotter, longer and move faster. Storms are getting bigger, more powerful and carrying more moisture. And higher temperatures worldwide are leading to water shortages, crop failure, and famine.
Extreme weather and searing heat was responsible for thousands of deaths last year and displaced millions of people. In the United States, heat-related deaths have doubled in the past few decades.
A recent study found that extreme heat will continue to drive up health care costs by $1 billion each summer, when extrapolated nationally.¹ The report was based on insurance claims data from Virginia’s all-payer claims database during the 5 summers from 2016-2020.
The report projects that each summer’s US heat-related events result in:
-
Almost 235,000 additional emergency department visits
-
Almost 56,000 additional hospital admissions
Who’s at greatest risk from extreme heat?
Infants and toddlers, pregnant women, and the elderly have more difficulty regulating their body temperature and face greater risks during extreme heat events
People with long-term health conditions like heart disease, hypertension, diabetes, and respiratory illnesses are more at risk of both heat exhaustion and heatstroke²
Extreme heat is associated with a higher risk of kidney problems, skin infections, and pre-term births
Cardiovascular disease may account for nearly one-fourth of heat-related deaths³
Patients with mental health disorders are disproportionately impacted
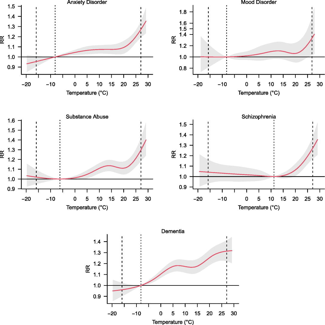
A 2021 study examined the impact of extreme temperatures on emergency room (ER) visits for mental health disorders using 2.8 million New York State records from 2009 to 2016.
The study found that ER visits by people with mental disorders significantly increased as temperatures increased. This included people with mood and anxiety disorders, substance abuse, schizophrenia, and dementia. It concluded that even moderately hot days can place vulnerable individuals at higher risk.
Source: Science of The Total Environment
REALITYRx has extensive healthcare knowledge and experience that we use to help our clients navigate a changing world. See examples of our client work here. What can we do for you? Let’s start a conversation.
- The health care costs of extreme heat. The Center for American Progress. Published June 27, 2023. Accessed September 6, 2023. https://www.americanprogress.org/article/the-health-care-costs-of-extreme-heat/
- Heat and health. World Health Organization. Published June 1, 2018. Accessed September 6, 2023. https://www.who.int/news-room/fact-sheets/detail/climate-change-heat-and-health
- Climate change indicators: heat-related deaths. Environmental Protection Agency. Updated July 21, 2023. Accessed September 6, 2023. https://www.epa.gov/climate-indicators/climate-change-indicators-heat-related-deaths
- Yoo EH, Eum Y, Roberts JE, Gao Q, Chen K. Association between extreme temperatures and emergency room visits related to mental disorders: a mult-region time-series study in New York, USA. Sci Total Environ. 2021;792:148246. doi:10.1016/j.scitotenv.2021.148246
Last year (2024) was the hottest year in recorded history, according to the World Meteorological Organization. With temperatures around the globe rising and the oceans warming, scientists warn that we face a new normal of chaotic floods, dangerous storms and out-of-control fires exacerbated by human-caused climate change.
Every year, wildfires burn hotter, longer and move faster. Storms are getting bigger, more powerful and carrying more moisture. And higher temperatures worldwide are leading to water shortages, crop failure, and famine.
Extreme weather and searing heat was responsible for thousands of deaths last year and displaced millions of people. In the United States, heat-related deaths have doubled in the past few decades.
The report projects that each summer’s US heat-related events result in:
- Almost 235,000 additional emergency department visits
- Almost 56,000 additional hospital admissions
Who’s at greatest risk from extreme heat?
Infants and toddlers, pregnant women, and the elderly have more difficulty regulating their body temperature and face greater risks during extreme heat events
People with long-term health conditions like heart disease, hypertension, diabetes, and respiratory illnesses are more at risk of both heat exhaustion and heatstroke²
Extreme heat is associated with a higher risk of kidney problems, skin infections, and pre-term births
Cardiovascular disease may account for nearly one-fourth of heat-related deaths³
Patients with mental health disorders are disproportionately impacted
A 2021 study examined the impact of extreme temperatures on emergency room (ER) visits for mental health disorders using 2.8 million New York State records from 2009 to 2016.
The study found that ER visits by people with mental disorders significantly increased as temperatures increased. This included people with mood and anxiety disorders, substance abuse, schizophrenia, and dementia. It concluded that even moderately hot days can place vulnerable individuals at higher risk.
Source: Science of The Total Environment
REALITYRx has extensive healthcare knowledge and experience that we use to help our clients navigate a changing world. See examples of our client work here. What can we do for you? Let’s start a conversation.
References:
- The health care costs of extreme heat. The Center for American Progress. Published June 27, 2023. Accessed September 6, 2023. https://www.americanprogress.org/article/the-health-care-costs-of-extreme-heat/
- Heat and health. World Health Organization. Published June 1, 2018. Accessed September 6, 2023. https://www.who.int/news-room/fact-sheets/detail/climate-change-heat-and-health
- Climate change indicators: heat-related deaths. Environmental Protection Agency. Updated July 21, 2023. Accessed September 6, 2023. https://www.epa.gov/climate-indicators/climate-change-indicators-heat-related-deaths
- Yoo EH, Eum Y, Roberts JE, Gao Q, Chen K. Association between extreme temperatures and emergency room visits related to mental disorders: a mult-region time-series study in New York, USA. Sci Total Environ. 2021;792:148246. doi:10.1016/j.scitotenv.2021.148246
